【導讀】接地層的使用與星型接地系統相關。為了實施接地層,雙面PCB(或多層PCB的一層)的一面由連續(xù)銅制造,而且用作地。其理論基礎是大量金屬具有可能最低的電阻。由于使用大型扁平導體,它也具有可能最低的電感。因而,它提供了最佳導電性能,包括最大程度地降低導電平面之間的雜散接地差異電壓。
接地層
接地層概念還可以延伸,包括電壓層。電壓層提供類似于接地層的優(yōu)勢—極低阻抗的導體—但只用于一個(或多個)系統電源電壓。因此,系統可能具有多個電壓層以及接地層。雖然接地層可以解決很多地阻抗問題,但它們并非靈丹妙藥。即使是一片連續(xù)的銅箔,也會有殘留電阻和電感;在特定情況下,這些就足以妨礙電路正常工作。設計人員應該注意不要在接地層注入很高電流,因為這樣可能產生壓降,從而干擾敏感電路。
保持低阻抗大面積接地層對目前所有模擬電路都很重要。接地層不僅用作去耦高頻電流(源于快速數字邏輯)的低阻抗返回路徑,還能將EMI/RFI輻射降至最低。由于接地層的屏蔽作用,電路受外部EMI/RFI的影響也會降低。
接地層還允許使用傳輸線路技術(微帶線或帶狀線)傳輸高速數字或模擬信號,此類技術需要可控阻抗。
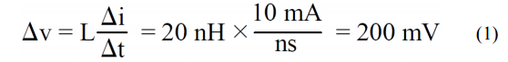
由于“總線(bus wire)”在大多數邏輯轉換等效頻率下具有阻抗,將其用作“地”完全不能接受。例如,#22標準導線具有約20nH/in的電感。由邏輯信號產生的壓擺率為10mA/ns的瞬態(tài)電流,流經1英寸該導線時將形成200mV的無用壓降:
對于具有2V峰峰值范圍的信號,此壓降會轉化為大約200mV或10%的誤差(大約“3.5位精度”)。即使在全數字電路中,該誤差也會大幅降低邏輯噪聲裕量。
圖1顯示數字返回電流調制模擬返回電流的情況(頂圖)。接地返回導線電感和電阻由模擬和數字電路共享,這會造成相互影響,最終產生誤差。

圖1.流入模擬返回路徑的數字電流產生誤差電壓
一個可能的解決方案是讓數字返回電流路徑直接流向GND REF,如底圖所示。這顯示了“星型”或單點接地系統的基本概念。在包含多個高頻返回路徑的系統中很難實現真正的單點接地。因為各返回電流導線的物理長度將引入寄生電阻和電感,所以獲得低阻抗高頻接地就很困難。實際操作中,電流回路必須由大面積接地層組成,以便獲取高頻電流下的低阻抗。如果無低阻抗接地層,則幾乎不可能避免上述共享阻抗,特別是在高頻下。
所有集成電路接地引腳應直接焊接到低阻抗接地層,從而將串聯電感和電阻降至最低。對于高速器件,不推薦使用傳統IC插槽。即使是“小尺寸”插槽,額外電感和電容也可能引入無用的共享路徑,從而破壞器件性能。如果插槽必須配合DIP 封裝使用,例如在制作原型時,個別“引腳插槽”或“籠式插座”是可以接受的。以上引腳插槽提供封蓋和無封蓋兩種版本。由于使用彈簧加載金觸點,確保了 IC引腳具有良好的電氣和機械連接。不過,反復插拔可能降低其性能。
應使用低電感、表面貼裝陶瓷電容,將電源引腳直接去耦至接地層。如果必須使用通孔式陶瓷電容,則它們的引腳長度應該小于1 mm。陶瓷電容應盡量靠近IC 電源引腳。噪聲過濾還可能需要鐵氧體磁珠。
可以說“地”越多越好嗎?
接地層能解決許多地阻抗問題,但并不能全部解決。即使是一片連續(xù)的銅箔,也會有殘留電阻和電感;在特定情況下,這些就足以妨礙電路正常工作。圖2說明了這個問題,并給出了解決方法。

圖 2.割裂接地層可以改變電流流向,從而提高精度
由于實際機械設計的原因,電源輸入連接器在電路板的一端,而需要靠近散熱器的電源輸出部分則在另一端。電路板具有 100 mm 寬的接地層,還有電流為 15 A 的功率放大器。如果接 地層厚0.038 mm,15 A 的電流流過時會產生 68 μV/mm 的壓降。對于任何共用該PCB且以地為參考的精密模擬電路,這種壓降都會引起嚴重問題??梢愿盍呀拥貙?,讓大電流不流入精密電路區(qū)域,而迫使它環(huán)繞割裂位置流動。這樣可以防止接地問題(在這種情況下確實存在),不過該電流流過的接地層部分中電壓梯度會提高。
在多個接地層系統中,請務必避免覆蓋接地層,特別是模擬層和數字層。該問題將導致從一個層(可能是數字地)到另一個層的容性耦合。要記住,電容是由兩個導體(兩個接地層)組成的,中間用絕緣體(PC板材料)隔離。
小心接地層割裂
如果導線下方的接地層上有割裂,接地層返回電流必須環(huán)繞裂縫流動。這會導致電路電感增加,而且電路也更容易受到外部場的影響。圖3顯示了這一情況,其中的導線 A 和導線 B 必須相互穿過。

圖 3.接地層割裂導致電路電感增加,而且電路也更容易受到外部場的影響
當割裂是為了使兩根垂直導線交叉時,如果通過飛線將第二根信號線跨接在第一根信號線和接地層上方,則效果更佳。此時,接地層用作兩個信號線之間的天然屏蔽體,而由于集膚效應,兩路地返回電流會在接地層的上下表面各自流動,互不干擾。
多層板能夠同時支持信號線交叉和連續(xù)接地層,而無需考慮線鏈路問題。雖然多層板價格較高,而且不如簡單的雙面電路板調試方便,但是屏蔽效果更好,信號路由更佳。相關原理仍然保持不變,但布局布線選項更多。
對于高性能混合信號電路而言,使用至少具有一個連續(xù)接地層的雙面或多層PCB無疑是最成功的設計方法之一。通常,此類接地層的阻抗足夠低,允許系統的模擬和數字部分共用一個接地層。但是,這一點能否實現,要取決于系統中的分辨率和帶寬要求以及數字噪聲量。
其他例子也可以說明這一點。高頻電流反饋型放大器對其反相輸入周圍的電容非常敏感。接地層旁的輸入走線可能具有能夠導致問題的那一類電容。要記住,電容是由兩個導體(走線和接地層)組成的,中間用絕緣體(板和可能的阻焊膜)隔離。在這一方面,接地層應與輸入引腳分隔開,如圖4所示,它是AD8001高速電流反饋型放大器的評估板。小電容對電流反饋型放大器的影響如圖5所示。請注意輸出上的響鈴振蕩。

圖 4.AD8001AR評估板—俯視圖(a)和仰視圖(b)

圖5. 10pF反相輸入雜散電容對放大器(AD8001)脈沖響應的影響
來源:亞德諾半導體
推薦閱讀:





